Thanks to you, we are celebrating our 25th anniversarykhurdan.gov.mn Founding Festival

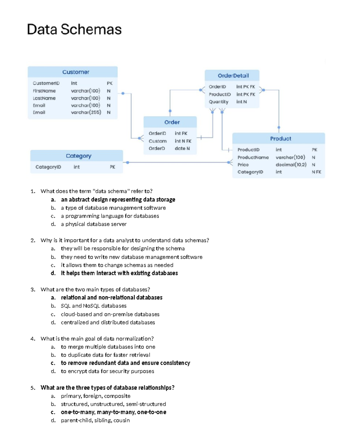
khurdan.gov.mn

For more information Here
My StoreMy Store change

trending ! Longchamp Boutique Longchamp Paragon Longchamp Outlet The Mall

※khurdan.gov.mn Limited model
YouTubers have introduced us to the usability of our products!
Introducing video here

Online sales
Price (tax included)

2967USD

  • Register your Komeri Card Number and pay with Komeri Card
    Comeri Point : Earned 5 points

About Komeri Points

Reduce the number of items purchased
Increase the number of items purchased

Pick up at the store Pick up at the store
(at no charge distribution)

Pickup store:

Choose a discover

Check nearby stores

Estimated fulfillment time:

purchase by

1pm → Prepare by 5pm

5pm → Prepare by The next morning

How to receive and shipping fees

Get Yours

Delivery shipping

Estimated shipping time:​

transport is scheduled for around 2026/02/07.

Cash on delivery is limited to credit or cash on delivery. For other payment methods, please refer to here.

*It may take several time for the product to be delivered on January Wednesday, or public holidays, and depending on stock availability.

Regarding same-day shipping conditions

How to receive and shipping fees

Add to Cart

Add to wish list

Added to wish list

More information about Longchamp Boutique Longchamp Paragon Longchamp Outlet The Mall

Longchamp Boutique Longchamp Paragon Longchamp Outlet The Mall

Search for products in the same category

Bestseller ranking

View more this category

People who viewed this product also viewed these products

Products from nearby sales areas

View more this category

Customer reviews

Recommendation level   4.4

Currently, 206 reviews have been posted.